Contoh Soal Uts Grafkom 2 Gunadarma
Energi Ikat C H 414 kJmol Energi Ikat O H 464 kJmol Energi Ikat O O 498 kJmol Energi Ikat C O 736 kJmol Reaksi. Latihan Soal Latihan 1.
Berikut ini adalah contoh contoh soal tes potensi akademik gunadarma yang bisa digunakan untuk melengkapi administarsi guru yang dapat di unduh secara gratis dengan menekan tombol download.

Contoh soal uts grafkom 2 gunadarma. Soal olimpiade sains sturk SD contoh soal bangun datar kelas 4 contoh biaya tenaga secara tidak langsung soal kelas 5 semester 2 jawabab buku paket bhs indonesia hal 170 kls 8 rencana kerja tahunan sd soal AKM PDF. Contoh soal beserta jawaban pemrograman perangkat bergerak android kelas 12 pilihan ganda 1. 4 kd2 kuis 2doc 51Kb Soal Essay uts essay soal uts essaypdf 153Kb Soal Her Kerjakan di kuis vclass soal herpdf 116Kb Soal PG.
SOAL UTS Matematika Bisnis A Matematika Bisnis A SOAL UTS MATEMATIKA SISTEM INFORMASI 2pdf 332Kb SOAL UTS Matematika Dasar 1 Matematika Dasar 1 Matematika Dasar 1pdf 675Kb SOAL UTS Matematika. 20210223 Soal dan jawaban ekonomi manajerial guru sd smp sma soal dan jawaban ekonomi manajerial contoh file soal uts lengkap kelas 1 6 sd mi semua mata pelajaran 2016 2017 berikut ini adalah kumpulan dari berbagi. Uas manajemen keuangan semester 3.
Download File PDF Soal Uas Matdas 2 Gunadarma Soal Uas Matdas 2 Gunadarma This is likewise one of the factors by obtaining the soft documents of this soal uas matdas 2 gunadarma by online. Perkuliahan sebelum UTS 8 Maret 8 Mei 2021 Pendistribusian FRS ke mahasiswa melalui situs wwwbaakgunadarmaacid 8 Maret 27 Maret 2021 Kegiatan Pengisian dan Cetak KRS Online a. Contoh soal ujian tengah soal uts pdf program diploma d3 manajemen.
CH 4 2. Luas daerah yang. Soal uas algoritma dan pengolahan paralel universitas.
Kelas 1 15 Maret 20 Maret. Inilah soal uas statistika 2 universitas gunadarma Berikut ini adalah Soal Latihan UKG 2015 SMK Semua Bidang yang merupakan kumpulan file dari berbagi sumber SMKUji Kompetensi GuruUKG 2015 tentang soal uas statistika 2. 2 kd2 kuis 1doc 56Kb Kuis ke-2 Kuis kimia dasar 2 bab 3.
Elipse Latihan Soal UTS 2014-2015pptx 84Kb Materi Kuliah Materi pengajaran Grafkom GrafKom1rar 4487Kb. Soal uas teknik. Soal uas manajemen keuangan semester 3.
Contoh soal dan jawaban pemrograman desktopSudah banyak deh. Kuis kimia dasar 2 bab 1. Soal uts bahasa inggris bisnis 2 gunadarma berkas file guru.
Luas daerah di dalam koordinat polar yang dibatasi oleh vektor posisi sampai. Latihan soal menghadapi pts 1 Latihan soal menghadapi pts 1 2018 2019 pemrograman web dan perangkat bergerak kelas xi rpl semester ganjil 3 1 memahami konsep teknolo. Pengalaman uas di gunadarma femalia latifa bilqis.
CONTOH SOAL UJIAN TENGAH SEMESTER Untuk soal nomor 1 sampai 6 diketahui. You might not require more. Iffatul Mardhiyah SSi MSi.
20200905 Itulah yang dapat kami bagikan terkait contoh soal pbo kelas 11 semester 1. Soal uts pkn gunadarma blog guru kelas.
 Grafika Komputer Tin 3221 Ppt Download
  Grafika Komputer Tin 3221 Ppt Download  
 Soal Ujian Utama Psikologi Umum 2 Gunadarma Helmi Kediris
  Soal Ujian Utama Psikologi Umum 2 Gunadarma Helmi Kediris  
 Soal Ujian Utama Psikologi Umum 2 Gunadarma Helmi Kediris
  Soal Ujian Utama Psikologi Umum 2 Gunadarma Helmi Kediris  
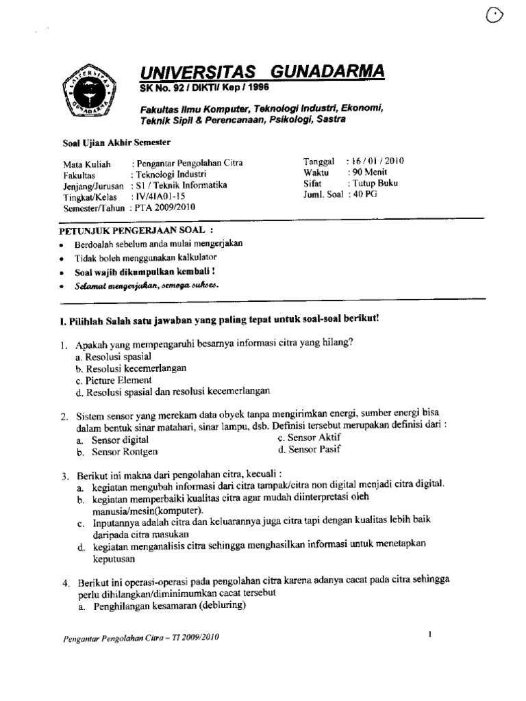
  Uas Gunadarma 2010 Pengantar Pengolahan Citra  
  Soal Uts Matakuliah Komputer Grafik  
  Uas Gunadarma 2010 Pengantar Pengolahan Citra  
 Kumpulan Tugas Pengantar Aplikasi Komputer 2 Psikologi Universitas Gunadarma
  Kumpulan Tugas Pengantar Aplikasi Komputer 2 Psikologi Universitas Gunadarma  
 Soal Ujian Utama Psikologi Umum 2 Gunadarma Helmi Kediris
  Soal Ujian Utama Psikologi Umum 2 Gunadarma Helmi Kediris  
 Pengantar Grafik Komputer Olah Citra Dosen Nuraini Purwandari
  Pengantar Grafik Komputer Olah Citra Dosen Nuraini Purwandari  
  Soal Ujian Utama Sistem Operasi Gunadarma  
 Pengantar Grafik Komputer Olah Citra Dosen Nuraini Purwandari
  Pengantar Grafik Komputer Olah Citra Dosen Nuraini Purwandari  
 Soal Ujian Utama Psikologi Umum 2 Gunadarma Helmi Kediris
  Soal Ujian Utama Psikologi Umum 2 Gunadarma Helmi Kediris  
 Soal Ujian Utama Psikologi Umum 2 Gunadarma Helmi Kediris
  Soal Ujian Utama Psikologi Umum 2 Gunadarma Helmi Kediris  
Posting Komentar untuk "Contoh Soal Uts Grafkom 2 Gunadarma"